Tài liệu vải địa kỹ thuật, Blog, Tài liệu kỹ thuật
Mô hình hóa nền đường dẫn vào cầu gia cố bằng hệ cọc xi măng đất kết hợp với vải địa kỹ thuật
Mô hình hóa nền đường dẫn vào cầu gia cố bằng Cọc đất gia cố xi măng kết hợp với vải địa kỹ thuật
Numerical modelling of abutment approach road embankment treated by deep cement mixing column combined with geotextile
Nguyễn Tấn Nguyên
Trung tâm TVGS, Tổng công ty TVTK GTVT (TEDI)

Tóm tắt
Gia cố nền bằng Cọc đất gia cố xi măng (XMĐ) kết hợp vải Địa Kỹ Thuật (ĐKT) (hệ GRPS) hiện nay đang được ứng dụng rộng rãi cho đường dẫn vào cầu vì: Chi phí rẻ hơn so với phương án sàn giảm tải, thời gian thi công nhanh hơn so với các phương pháp khác như giếng cát, bấc thấm.
Để xây dựng mô hình cho nền đường dẫn vào cầu bằng phương pháp PTHH (Phần Tử Hữu Hạn), các tài liệu thường chỉ mới mô phỏng mặt cắt ngang điển hình tại vị trí bất lợi (đắp cao tại mố). Rất ít tài liệu mô hình theo phương dọc cầu để mô phỏng nền đường và mố cầu làm việc đồng thời.
Vì vậy, bài báo này sẽ nghiên cứu vấn đề trên. Nội dung trình bày: (1) xây dựng mô hình đường dẫn theo phương dọc cầu bằng phương pháp PTHH, (2) kiểm chứng xây dựng mô hình, (3) ứng dụng vào công trình cầu IC3 – TP. Cần Thơ để so sánh hiệu quả của phương pháp hệ cọc đất gia cố xi măng với phương pháp đã được sử dụng trước đó là giếng cát kết hợp gia tải.
Từ khóa: Hệ GRPS, cọc đất gia cố xi măng, đường dẫn vào cầu, gia cố địa kỹ thuật.
Chỉ số phân loại: 2.4
Abstract:
The deep cement mixing column combined with geotextile method (GRPS system) is now widely using to improve abutment approach road embankment due to lower cost than pile slab method, and faster construction time more than sand drain or PVD method.
To simulate calculation model by FEM for abutment approach road, some studies normally build calculation model by the typical section of embankment at unfavourable position (at abutment).
There is a little document build model follow longitudinal to analysis work together between abutment and road embankment.Therefor, this paper will study above matters, the content includes: (1) how to build a FE model for abutment appoach road embankment, (2) verification of model, (3) applying the selected model for IC3 bridge to compare effect of the above treatment method with the sand drain method.
Keywords: GRPS system, deep cement mixing column, abutment approach road embankment, geosynthetic reinforcement.
Classification number: 2.4

Giới thiệu
Khi xây dựng các công trình cầu đường đi qua khu vực đất yếu, tại vị trí tiếp giáp giữa cầu và đường thường xảy ra hai vấn đề:

Chênh lệch độ lún tại vị trí tiếp giáp đường và mố cầu do mố cầu được tựa trên hệ cọc nên có độ lún nhỏ, trong khi đó nền đường không được xử lý sẽ có độ lún lớn (hình 1).
Vì vậy, phải thường xuyên vuốt nối êm thuận, đảm bảo an toàn giao thông. Hiện tượng này thực tế xảy ra tại mố A1 đầu cầu Gò Dưa, đường Phạm Văn Đồng sau hai năm đưa vào sử dụng.

Nền đường dẫn vào cầu chưa được xử lý có độ lún lớn, gây ra áp lực ngang cho các lớp đất bên dưới và gây ra chuyển vị ngang cọc mố cầu (hình 2). Chuyển vị ngang này phát triển lớn dần có thể gây phá hoại cọc, làm sụp đổ mố cầu. Hiện tượng này đã xảy ra ở cầu Kỳ Hà, Quận 2, TP. Hồ Chí Minh.
Để giải quyết vấn đề trên, phương pháp hiện nay hay được sử dụng là hệ cọc đất gia cố xi măng kết hợp vải địa kỹ thuật (hệ GRPS) vì: chi phí xây dựng rẻ hơn so với phương pháp sàn giảm tải, thời gian thi công nhanh hơn so với các phương truyền thống: cọc cát, bấc thấm.
Một số nghiên cứu về hệ GRPS cho thấy rằng cơ chế truyền lực trong hệ đó là sự kết hợp giữa hiệu ứng vòm, hiệu ứng màng của vải địa kỹ thuật và sự tập trung ứng suất lên đầu cọc [1-2].
Tuy nhiên, mô hình trên chỉ mới xây dựng cho nền đường thông thường bằng cách mô phỏng mặt cắt ngang điển hình tại vị trí đắp cao bất lợi. Rất ít tài liệu xây dựng mô hình theo phương dọc cầu để mô phỏng nền đường và mố cầu làm việc đồng thời.
Vì vậy, bài báo này sẽ nghiên cứu các vấn đề trên, nội dung trình bày: (1) xây dựng nền đường dẫn theo phương dọc cầu bằng phương pháp PTHH, (2) kiểm chứng mô hình, (3) áp dụng mô hình đã chọn vào cầu IC3 để từ đó so sánh hiệu quả của phương pháp gia cố bằng hệ cọc đất gia cố xi măng với phương pháp đã sử dụng là giếng cát kết hợp gia tải.
Mô hình hóa đường dẫn vào cầu
Chuyển đổi bài toán từ 3D về 2D
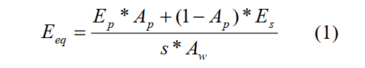
Vì bài toán không gian 3D có số lượng phần tử lớn, nhiều số ẩn nên tác giả chuyển bài toán 3D về bài toán biến dạng phẳng 2D. Cọc xi măng đất (XMĐ): Hàng cọc đất gia cố xi măng theo phương ngang được quy đổi theo phương pháp của Huang [3]. Theo đó hàng cọc tròn XMĐ được quy về dạng tường cọc có chiều dày bằng đường kính cọc, mođun đàn hồi tương đương tính theo công thức:

Aw: diện tích tường cọc tương đương; Ap: diện tích cọc đất gia cố xi măng; Es, Ep: mô đun đàn hồi của đất, cọc; Eeq: mô đun đàn hồi của tường cọc; S: khoảng cách cọc. Cọc khoan nhồi mố cầu: Hàng cọc khoan nhồi cũng được quy về tường cọc.
Tại vị trí mố cầu đắp cao nên gây ra mô men uốn tác dụng lên cọc khoan nhồi, nên phần tử tấm (plate) được sử dụng để mô phỏng, các thông số về độ cứng EA và độ cứng chống uốn EI xác định theo phương pháp Randolph [4]:

Iw: Mô men chống uốn của tường cọc; Ip: mô men chống uốn của cọc mố; Is: mô men chống uốn của phần đất nền.
Kích thước mô hình tính toán và mật độ lưới PTHH Kích thước mô hình:
Được xác định bằng cách xét hàm hội tụ độ lún tại điểm gần biên khi cho kích thước biên thay đổi.
Lưới PTHH: Được xác định bằng cách xét hàm hội tụ độ lún lớn nhất nền đường khi cho mật độ lưới PTHH thay đổi.
Mô hình vật liệu Các lớp đất: Lớp đất sét áp dụng theo mô hình Modified Cam Clay,
Vì mô hình này xây dựng trên cơ sở lý thuyết trạng thái tới hạn, ứng xử phi tuyến thông qua quy luật tăng bền, phù hợp với ứng xử của lớp đất sét. Lớp cát đắp nền đường và lớp đất chịu lực được áp dụng theo mô hình Morh – Coulomb.
Vải địa kỹ thuật: Áp dụng theo mô hình đàn hồi tuyến tính. Thông số đầu vào chỉ có độ cứng EA, chỉ chịu kéo, không chịu nén. Mố cầu và cọc khoan nhồi: Áp dụng theo mô hình đàn hồi tuyến tính và sẽ kiểm chứng ở mục 3. Cọc đất gia cố xi măng: mô hình Morh – Coulomb được áp dụng và sẽ kiểm chứng ở mục 3.
Kiểm chứng, lựa chọn mô hình:
Mố cầu: Mô phỏng 2D cho mố cầu được tham khảo theo tài liệu [5].
Tác giả dùng PLAXIS 2D để mô phỏng lại nền đường dẫn vào cầu Brookdale Avenue.

Kết quả hình 3 cho thấy độ lún tính toán của bài báo gần sát với số liệu trong tài liệu [5]. Sở dĩ có sai số là vì lưới PTHH sử dụng trong bài báo là dạng mịn (số lượng phần tử 486, kích thước phần tử 3.46), còn trong tài liệu [5] không thể hiện rõ.
Từ đó, mô phỏng 2D áp dụng cho mố cầu là dạng phần tử phẳng 15 nút, mô hình là đàn hồi tuyến tính.
Cọc đất gia cố xi măng và cọc khoan nhồi
Mô phỏng 2D cho cọc khoan nhồi và cọc XMĐ được tham khảo theo tài liệu [6]. Tác giả dùng PLAXIS 2D để mô phỏng lại nền đường dẫn vào cầu Trần Thị Lý – Đà Nẵng.

Kết quả hình 4 cho thấy độ lún của bài báo gần sát với kết quả trong tài liệu [6]. Từ đó, mô phỏng 2D cho cọc khoan nhồi là dạng phần tử tấm, cọc XMĐ là dạng phần tử phẳng 15 nút, mô hình là Morh – Coulomb 4. Áp dụng cho cầu vượt IC3 4.1.
Hiện trạng vị trí đường dẫn Cầu vượt IC3-TP.Cần Thơ nằm trên QL1A, là cửa ngỏ về các tỉnh Sóc Trăng, Bạc Liêu (hình 5). Đường dẫn vào cầu dài L = 60m, chiều cao đắp tại mố Hđắp = 3m. Mố cầu BTCT M350, cọc khoan nhồi ∅1000, chiều dày lớp đất yếu D1 = 25m. Cọc XMĐ đường kính ∅800.

Thông số vật liệu

Kích thước mô hình, lưới PTHH
Biên trái: Kết quả hình 6 cho thấy khi biên trái thay đổi thì độ lún tại vị trí đầu đường dẫn hội tụ dần về ∆S=168mm. Nên biên trái mô hình được chọn là Lt=30m.

Biên phải: Hình 7 cho thấy độ lún tại mép trên bệ mố hội tụ dần về ∆S = 131mm. Nên biên phải mô hình được chọn là Lp = 20m.

Chiều sâu mô hình: Hình 8 cho thấy độ lún của mũi cọc khoan nhồi hội tụ dần về ∆S = 126mm. Nên chiều sâu mô hình được chọn là D2 = 14m.

Chọn lưới PTHH: Kết quả hình 9 cho thấy khi mật độ lưới PTHH (phần tử hữu hạn) thay đổi thì độ lún lớn nhất của nền đường hội tụ về giá trị S=1590mm. Từ đó, mật độ lưới PTHH dạng mịn được chọn.

Từ kết quả phân tích trên, biên mô hình được chọn lần lượt là: Lt = 30m, Lp = 20m, D2 = 14m. Mật độ lưới PTHH là dạng mịn được chọn. Mô hình hoàn chỉnh cho nền đường dẫn vào cầu IC3 như hình 10.
Tải trọng kết cấu phần trên cầu được quy đổi về lực tập trung F = 311.98kN đặt tại gối cầu. Cọc XMĐ được bố trí theo 3 vùng: AB (2.4≤H≤3) là a=1.8m, BC (1.8≤H≤2.4) là a=2.0m, CD (H≤1.8) là a=2.2m.

Sức chịu tải của nền đường
Sức chịu tải của cọc XMĐ: Ứng suất lớn nhất tác dụng lên cọc đất gia cố xi măng tính được là
δyy = 723.28kN/m2, nên cọc XMĐ(Xi Măng Đất) chịu tải trọng lớn nhất là Qcol = Ap*δyy = 363.37kN

Sức chịu tải theo đất nền của cọc XMĐ được xác định theo công thức của Bergado: Qultsoil (dLcol 2.25d 2)Cusoil (3) d, Lcol: Đường kính, chiều dài cọc XMĐ; Es, Ep: Mô đun đàn hồi của đất, cọc; Cusoil:
Sức kháng cắt của đất nền. Kết quả tính được Qultsoil = 988.28kN, lấy hệ số an toàn Fs = 2.5 theo Bergado Qultsoil/Fs = 395.31kN > Qcol = 363.37kN, vì vậy cọc XMĐ đảm bảo điều kiện chịu lực. Khả năng chịu lực của lớp đất bên dưới:
Ứng suất lớn nhất gây ra cho lớp đất bên dưới đầu cọc XMĐ là yy = 356.75 kN/m2. Sức chịu tải của lớp đất bên dưới khối móng được tính theo công thức của Terzaghi:

N’γ, N’q, N’c: Hệ số phụ thuộc vào góc nội ma sát của lớp đất bên dưới khối móng; B, H: Bề rộng, chiều sâu khối nền gia cố Kết quả tính được Rđn=18439 kN/m2, lấy hệ số Fs=2.5Rđn/Fs =7375>yy = 356.75kN/m2 nên lớp đất bên dưới đạt yêu cầu chịu lực.
Độ lún nền đường sau khi gia cố
Độ lún lớn nhất tính toán được là ∆S=18.8cm ≤ [∆S]= 20cm (thỏa mãn yêu cầu quy trình 22TCN 262-2000).

4. So sánh hiệu quả của phương pháp gia cố nền bằng hệ cọc đất gia cố xi măng với phương pháp giếng cát đã xử dụng trước đó
Cầu vượt IC3 đã được thi công và khánh thành vào tháng 9 năm 2013. Theo thiết kế thì nền đường dẫn vào cầu được gia cố bằng giếng cát ∅400 kết hợp với đắp gia tải cao H = 3.8m trong vòng 3 tháng.

So sánh về mặt kỹ thuật: với cách bố trí cọc XMĐ cho thấy rằng độ lún khi gia cố bằng hệ cọc XMĐ là tương đương với phương pháp giếng cát, và đều thỏa mãn S≤ 20cm (22TCN262-2000).
So sánh về mặt kinh tế: để tính chi phí gia cố nền bằng cọc đất gia cố xi măng, tác giả dùng đơn giá của công trình tương tự, còn đơn giá gia cố nền bằng giếng cát đã có sẵn trong dự toán của dự án IC3. Từ bảng 2 cho thấy: phương án cọc đất gia cố xi măng có chi phí xây dựng lớn hơn 0.5% so với phương án giếng cát.
Tuy nhiên, xét về tổng thể thì phương án cọc XMĐ kinh tế hơn vì: có thể thi công đắp nền ngay sau khi thi công cọc XMĐ, trong khi đó phương án giếng cát phải đợi 3 tháng cho nền đường cố kết nên tăng thêm chi phí quản lý.
Kết luận Mô hình hóa cọc đất gia cố xi măng kết hợp vải địa kỹ thuật
(1) Bằng tính toán và kiểm chứng kết quả, tác giả giới thiệu cách thức xây dựng mô hình nền đường dẫn vào cầu bằng phương pháp PTHH, theo đó:
+ Mố cầu được mô phỏng 2D bằng phần tử phẳng 15 nút với mô hình đàn hồi tuyến tính. Cọc mố cầu được mô phỏng bằng phần tử tấm (plate), mô hình đàn hồi tuyến tính. Cọc XMĐ được mô phỏng bằng phần tử phẳng 15 nút với mô hình Mohr – Coulomb.
+ Kích thước mô hình bài toán được xác định bằng cách xét hàm hội tụ độ lún của điểm gần biên. Khi áp dụng cho công trình cầu vượt IC3 thì các kích thước được xác định lần lượt là: biên trái Lt = 30m, biên phải Lp = 20m, chiều sâu mô hình là D2 = 14m.
+ Mật độ lưới PTHH cũng được xác định bằng cách xét hàm hội tụ độ lún lớn nhất nền đường. Khi áp dụng cho công trình cầu vượt IC3 thì mật độ lưới PTHH là dạng mịn (fine) được lựa chọn. (2) So sánh hiệu quả giữa phương pháp gia cố nền bằng hệ cọc XMĐ với phương pháp giếng cát trong điều kiện đường dẫn vào cầu IC3, cho thấy những vấn đề sau:
+ Về mặt kỹ thuật: độ lún của hai phương pháp là tương đương đương nhau và đều thỏa mãn S ≤ 20cm (22TCN262-2000).
+ Về mặt kinh tế: Phương pháp cọc XMĐ có hiệu quả kinh tế cao hơn so với phương pháp giếng cát vì: (1) chi phí xây dựng không chênh lệch nhiều so với phương pháp giếng cát kết hợp, (2) đẩy nhanh tiến độ thi công, có thể thi công đắp nền ngay sau khi thi công xong cọc XMĐ mà không cần đợi nền cố kết. Nên đây cũng là một gợi ý tham khảo để áp dụng cho các công trình tương tự










































































