Màng chống thấm HDPE, Tài liệu kỹ thuật, Tài liệu màng chống thấm HDPE
TIÊU CHUẨN QUỐC GIA TCVN 13692:2023 THỦY LỢI – TƯỜNG HÀO BENTONITE CHỐNG THẤM – YÊU CẦU THIẾT KẾ
TIÊU CHUẨN QUỐC GIA TCVN 13692:2023
THỦY LỢI – TƯỜNG HÀO BENTONITE CHỐNG THẤM – YÊU CẦU THIẾT KẾ
Hydraulic structure – Anti-seepage bentonite cutoff wall – Design requiment
Lời nói đầu
TCVN 13692:2023 do Trường Đại học Thủy lợi biên soạn, Bộ Nông nghiệp và Phát triển nông thôn đề nghị, Tổng cục Tiêu chuẩn Đo lường Chất lượng thẩm định, Bộ Khoa học và Công nghệ công bố.
CÔNG TRÌNH THỦY LỢI – TƯỜNG HÀO BENTONITE CHỐNG THẤM – YÊU CẦU THIẾT KẾ
Hydraulic structure – Anti-seepage bentonite cutoff wall – Design requiment
1 Phạm vi áp dụng
Tiêu chuẩn này quy định các yêu cầu thiết kế tường hào bentonite chống thấm cho đập đất và nền của công trình thủy lợi.
Tiêu chuẩn này cũng có thể áp dụng để thiết kế tường hào bentonite chống thấm đối với các công trình loại khác có điều kiện làm việc tương tự.
2 Tài liệu viện dẫn
Các tài liệu viện dẫn sau cần thiết cho việc áp dụng tiêu chuẩn này. Đối với các tài liệu viện dẫn ghi năm công bố thì áp dụng phiên bản được nêu. Đối với các tài liệu viện dẫn không ghi năm công bố thì áp dụng phiên bản mới nhất, bao gồm cả các sửa đổi, bổ sung (nếu có).
TCVN 2682, Xi măng pooclăng.
TCVN 2683, Đất xây dựng – Lấy mẫu, bao gói, vận chuyển và bảo quản mẫu.
TCVN 8215, Công trình thủy lợi – Thiết bị quan trắc.
TCVN 8216, Công trình thủy lợi – Thiết kế đập đất đầm nén.
TCVN 8477, Công trình thủy lợi – Thành phần, khối lượng khảo sát địa chất trong các giai đoạn lập dự án và thiết kế.
TCVN 10302, Phụ gia hoạt tính tro bay dùng cho bê tông, vữa xây và xi măng.
TCVN 11586, Xỉ hạt lò cao nghiền mịn dùng cho bê tông và vữa.
TCVN 11893, Vật liệu bentonite – Phương pháp thử.
DIN 4126 Stability analysis of Diaphragm walls (Phân tích ổn định tường hào).
3 Thuật ngữ và định nghĩa
Trong tiêu chuẩn này sử dụng các thuật ngữ và định nghĩa sau:
3.1 Tường hào bentonite chống thấm (anti-seepage bentonite cutoff wall)
Kết cấu chống thấm được xây dựng bằng việc đào hào có vách thẳng đứng trong dung dịch bentonite hoặc vữa xi măng – bentonite, sau đó hào được lấp đầy bằng các loại vật liệu có hệ số thấm nhỏ hoặc vữa xi măng-bentonite ở trong hào tự động kết tạo thành tường hào. Trong tiêu chuẩn này đề cập đến hai loại tường hào là tường hào xi măng – bentonite và tường hào đất – bentonite.
3.2 Tường hào xi măng – bentonite (cement – bentonite cutoff wall)
Kết cấu/tường hào chống thấm với vật liệu chính là dung dịch xi măng – bentonite.
Bao gồm 2 loại
Loại 1: Tường hào bentonite sử dụng dung dịch bentonite để giữ ổn định vách trong quá trình đào hào, dung dịch này sau đó được thay thế bằng vữa xi măng – bentonite để đông kết tạo thành tường hào.
Loại 2: Tường hào bentonite sử dụng vữa xi măng – bentonite để giữ ổn định vách trong quá trình đào hào, Vữa xi măng – bentonite sau đó đông kết tạo thành tường hào.
3.3 Tường hào đất – bentonite (soil-bentonite cutoff wall)
Kết cấu/tường hào chống thấm với vật liệu chính là hỗn hợp đất – bentonite.
3.4 Dung dịch bentonite (Bentonite Fluid)
Dung dịch bentonite gồm nước sạch, bentonite và các hóa chất khác có khả năng tạo màng cách nước giữa vách hào và đất xung quanh đồng thời giữ ổn định cho vách hào.
3.5 Vữa xi măng – bentonite (cement bentonite slurry)
Vữa được trộn giữa xi măng với dung dịch bentonite.
3.6 Tường dẫn hướng (guide wall)
Tường được xây dựng phía trên đỉnh hào giúp đào hào theo phương thẳng đứng và giữ ổn định phần đất phía trên của vách hào khi đào hào bằng máy đào gầu ngoạm.
3.7 Đáy tường hào (bottom of slurry wall)
Giới hạn dưới của tường hào.
3.8 Đỉnh tường hào (top of slurry wall)
Là giới hạn trên của tường hào.
3.9 Vách hào (Trench side)
Phần đất thẳng đứng ở hai bên hào, hình thành khi đào hào.
Màng chống thấm HDPE dày 0.5mm
4.1 Vách hào phải đáp ứng yêu cầu ổn định trong mọi điều kiện làm việc, trong suốt thời gian thi công.
4.2 Tường hào bentonite chống thấm phải đảm bảo điều kiện kỹ thuật để không xảy ra thấm vượt quá lưu lượng và vận tốc cho phép, gây xói ngầm.
4.3 Tường hào bentonite chống thấm phải có đủ độ cao an toàn có tính đến lún cố kết.
4.4 Tường hào bentonite chống thấm cần đảm bảo tính liên tục và đồng nhất.
4.5 Tường hào bentonite chống thấm phải có khả năng chịu biến dạng để đảm bảo không bị nứt khi đập và nền cố kết.
4.6 Tường hào bentonite chống thấm phải đảm bảo yêu cầu chống thấm tại các vị trí tiếp giáp với các bộ phận công trình khác.
4.7 Tính toán về ổn định, thấm, ứng suất và biến dạng của đập theo các tiêu chuẩn liên quan và theo yêu cầu của công trình.
5.1 Tường hào xi măng – bentonite chống thấm
5.1.1 Nước
Yêu cầu kỹ thuật của nước trộn bentonite phải phù hợp với phụ lục A trong TCVN 11893.
5.1.2 Bentonite
Bentonite sử dụng làm tường hào phải đảm bảo tạo ra dung dịch bentonite đáp ứng yêu cầu nêu trong Bảng 1.
Bảng 1 – Yêu cầu kỹ thuật của dung dịch bentonite trước khi sử dụng – phương pháp kiểm tra theo TCVN 11893
| Tên chỉ tiêu | Mức quy định |
| 1. Khối lượng riêng | > 1,025g/cm3 |
| 2. Độ nhớt phễu Marsh | Từ 40 s đến 50 s |
| 3. Hàm lượng cát | < 6% |
| 4. Tỷ lệ keo | > 95% |
| 5. Lượng tách nước | < 30ml/30 min |
| 6. Độ dày áo sét | Từ 1mm đến 3mm/30 min |
| 7. Lực cắt tĩnh | 1 min: Từ 20 mg/cm2 đến 30 mg/cm2 10 min: Từ 50 mg/cm2 đến 100mg/cm2 |
| 8. Độ ổn định | < 0,03g/cm2 |
| 9. Độ pH | Từ 7 đến 9 |
5.1.3 Phụ gia hoá học
a) Khi phải thi công hào sâu, thời gian đào hào kéo dài, cần sử dụng phụ gia chậm đông kết để tránh vữa ximăng-bentonite đông kết trong quá trình thi công.
b) Một số loại phụ gia có thể ảnh hưởng đến hệ số thấm của tường hào, do đó khi thiết kế cần quy định loại/các loại phụ gia được sử dụng trong quá trình thi công.
5.1.4 XI măng
Xi măng sử dụng là xi măng Poóc lăng có các thông số kỹ thuật phù hợp với TCVN 2682.
5.1.5 Tro bay
Tro bay sử dụng là loại tro bay có thông số kỹ thuật phù hợp với TCVN 10302.
5.1.6 Xỉ lò cao
a) Để nâng cao khả năng chống thấm của tường hào xi măng – bentonite có thể trộn thêm xỉ lò cao.
b) Xỉ lò cao sử dụng có thông số kỹ thuật phù hợp với TCVN 11586.
5.2 Tường hào đất – bentonite chống thấm
Nước, bentonite, tro bay theo quy định tại 5.1.
Đất
a) Đất sử dụng làm vật liệu lấp hào cần có cấp phối đáp ứng như yêu cầu ở Bảng 2 và hình 1.
CHÚ THÍCH: Đất để làm tường hào nên là đất đào ra từ hào (trong dập, nền); Trong trường hợp đất đào từ hào không đáp ứng được yêu cầu về cấp phối (có quá nhiều hạt thô hoặc đường cấp phối có bước nhảy) cần bổ sung thêm loại đất khác hoặc thay thế bằng đất mới để đảm bảo yêu cầu về thành phần hạt mịn và cấp phối trước khi chế tạo vật liệu lấp hào; Đất để làm tường hào đất – bentonite phải có thành phần hạt mịn (d<0,075mm) chiếm tỷ lệ theo khối lượng lớn hơn 20 % và không vượt quá 30 % tổng khối lượng đất; Kích thước hạt lớn nhất nên giới hạn nhỏ hơn 40mm để giảm sự phân tầng trong quá trình đổ hỗn hợp đất-bentonite vào hào.
b) Đất lấp hào phải có cấp phối phù hợp với đất ở vách hào để không không cho đất của hai khối di chuyển vào kẽ rỗng của nhau trong quá trình làm việc, đặc biệt là trong trường hợp gradient thấm cao.
Bảng 2 – cấp phối tiêu biểu của đất dùng trong tường hào đất-bentonite
| Đường kính mắt sàng (mm) | Phần trăm trọng lượng lọt qua mắt sàng (%) |
| 75,000 | 80 – 100 |
| 19,000 | 50 – 100 |
| 4,750 | 30 – 70 |
| 0,600 | 25 – 60 |
| 0,075 | 20 – 30 |

Hình 1 – Biểu đồ đường bao cấp phối tiêu biểu của đất dùng trong tường hào đất-bentonite
5.3. Dung dịch bentonite trong tường hào bentonite
a) Dung dịch sử dụng để giữ ổn định vách hào.
b) Dung dịch giữ vách thường có hàm lượng bentonite (tỷ lệ bentonite/nước) từ (5 – 6)% theo khối lượng.
c) Khối lượng đơn vị tối đa của dung dịch giữ ổn định vách hào phải nhỏ hơn khối lượng thể tích của vật liệu lấp hào để đảm bảo vật liệu lấp hào có thể dễ dàng chìm xuống.
d) Khi hàm lượng cát trong dung dịch bentonite/vữa xi măng – bentonite vượt quá 15 % cần loại bỏ cát khỏi dung dịch bằng các thiết bị khử cát.
f) Khối lượng đơn vị của dung dịch giữ vách hào phải đảm bảo giữ ổn định vách hào.
CHÚ THÍCH: Đất cát sẽ rơi vào trong hào trong quá trình đào làm cho hàm lượng cát trong dung dịch tăng lên. Theo các kết quả tổng kết của các công trình xây dựng trên thế giới và Việt Nam, hàm lượng cát không nên vượt quá 15 %.
6.1 Yêu cầu khảo sát
a) Khảo sát địa chất dọc theo tim của tường hào theo quy định trong TCVN 8477.
b) Khối lượng khoan và lấy mẫu phải đảm bảo mô tả mặt cắt địa chất tuyến làm tường hào. Khối lượng khảo sát địa chất tối thiểu phải bằng khối lượng khảo sát dọc tim đập theo các giai đoạn tương ứng khi thiết kế đập.
c) Mô tả chính xác địa tầng, phân bố của các loại đất tại vị trí tuyến hào dự kiến.
d) Chiều sâu đến nền đá gốc hoặc tàng không thấm (để xác định cao trình đáy tường hào).
6.2 Hồ sơ địa chất
a) Xác định cao trình mực nước ngầm và sự biến thiên mực nước ngầm theo thời gian.
b) Lấy mẫu đất, đá.
c) Xác định các tính chất của đất như loại đất, cấp phối hạt, kích thước hạt lớn nhất.
d) Xác định các chỉ tiêu cơ lý của đất.
đ) Xác định khả năng xuất hiện các lớp đất yếu.
e) Xác định độ cứng, mức độ phong hóa vv… của đá;
g) Xác định các đứt gãy và tình trạng hoạt động của nó, các kẽ nứt lớn có khả năng xảy ra sự cố hoặc mất dung dịch trong quá trình thi công hào.
h) Xác định khả năng xuất hiện đá mồ côi có kích thước lớn.
6.3 Báo cáo địa kỹ thuật
Báo cáo địa kỹ thuật phù hợp với TCVN 8477.
6.4 Bảo quản các mẫu đất và đá
Các mẫu đất đá thu thập phải được bảo quản phù hợp với TCVN 2683.
7 Lựa chọn hình thức tường hào bentonite
Khi chọn hình thức tường hào cần thông qua so sánh kinh tế kỹ thuật (yêu cầu chống thấm, cường độ, giá thành…) để quyết định, đồng thời phải xem xét đầy đủ tính tương thích của loại tường hào dự kiến với các yếu tố sau:
a) Điều kiện địa hình, địa chất: Xem xét mặt bằng, đặc trưng địa chất thân và nền đập.
b) Điều kiện thi công: cần xem xét điều kiện khí tượng thủy văn; mặt bằng; Trang thiết bị và điều kiện vận chuyển, vận hành của thiết bị thi công.
c) Đặc điểm bố trí của cụm đầu mối, điều kiện liên kết an toàn tường hào với các công trình tháo nước dẫn nước ở trong đập và liền kề đập.
8 Tính toán thiết kế tường hào bentonite
a) Trong trường hợp Tường hào bentonite có khối lượng lớn, phải phân đợt, phân đoạn để thi công:
– Đối với tường hào xi măng-bentonite, trước khi thi công đợt, đoạn tiếp theo cần đào bỏ tối thiểu 40 cm của đoạn tường hào đã thi công của phân đợt, phân đoạn liền trước (Hình 2).

CHÚ DẪN: SC : khoang đào sơ cấp, TC : khoang đào thứ cấp.
Hình 2 – Chiều dầy tối thiểu cần bóc bỏ khi thi công nối tiếp các đoạn hào xi măng – bentonite
– Đối với tường hào đất – bentonite, trước khi thi công đợt, đoạn tiếp theo cần đào bỏ tối thiểu 100 cm của đoạn tường hào đã thi công của phân đợt, phân đoạn liền trước (hình 3).

CHÚ DẪN:
| 1: Hào bentonite thi công giai đoạn 1 | 4: Mái dốc tự nhiên của vật liệu sau khi đổ |
| 2: Hào bentonite thi công giai đoạn 2 | 5: Dung dịch bentonite |
| 3. Đào bỏ tối thiểu 100cm khi thi công giai đoạn 2 | 6: Hướng thi công hào đất – bentonite |
Hình 3 – Chiều dầy tối thiểu cần bóc bỏ khi thi công nối tiếp các đoạn tường hào đất – bentonite
b) Việc thiết kế và xây dựng tường hào bentonite phải tuân thủ theo các quy định liên quan, cần chú ý các vấn đề sau:
– Cần có quy hoạch bãi thải vật liệu đào từ tường hào bentonite.
– Hoàn trả mặt bằng đập sau khi thi công tường hào bentonite.
– Xử lý gia cố đỉnh tường hào nếu đỉnh đập có kết hợp giao thông.
8.2. Vị trí tường hào bentonite
Cần chọn vị trí tường hào theo yêu cầu sau:
a) Phù hợp với kết cấu công trình chính và đạt hiệu quả chống thấm tốt.
b) Trường hợp tường hào bentonite chỉ sử dụng chống thấm cho nền đập, tường hào bentonite nên được xây dựng ở gần chân đập thượng lưu để thuận tiện cho việc thi công và sửa chữa (Hình 4 a, Hình 4 b).
c) Bố trí tường hào bentonite từ giữa đập đến mép nước thượng lưu cao nhất khi tường hào bentonite chống thấm cho thân hoặc cả thân và nền đập để tận dụng khả năng hạ thấp đường bão hòa trong thân đập đồng thời tận dụng đỉnh đập để làm mặt bằng thi công (Hình 4 c, Hình 4 d).
d) Các thiết bị thi công có thể di chuyển thuận lợi.

a) Tường hào bentonite chống thấm bố trí ở chân dập phía thượng lưu

b) Tường hào bentonite chống thấm bố trí ở cơ đập thượng lưu

c) Tường hào bentonite chống thấm bố trí giữa đỉnh đập

d) Tường hào bentonite chống thấm bố trí ở mép thượng lưu đỉnh đập
CHÚ DẪN:
| 1: Đập đất đồng chất | 5: Đỉnh tường hào |
| 2: Tầng thấm mạnh | 6: Đáy tường hào |
| 3. Tầng không thấm | 7: Đoạn tường hào cắm vào nền không thấm |
| 4: Tường hào chống thấm | 8: Khối đất đào bỏ thi công hào, sẽ được đắp bù sau khi thi công hoàn thành. |
Hình 4 – Vị trí tường hào bentonite chống thấm
a) Tường dẫn hướng làm bằng bê tông cốt thép được bố trí dọc mỗi bên của vách hào khi đào hào bằng thiết bị máy đào gầu ngoạm.
b) Hai tường cách nhau một khoảng bằng chiều rộng tường hào (chiều rộng thiết bị đào hào tb cộng 3cm để thiết bị đào có thể dịch chuyển dễ dàng).
c) Tường dẫn hướng cần thiết kế để đảm bảo ổn định vách hào khi xe máy thi công ở gần mép hào.
d) Chiều cao tường dẫn hướng thường từ 0,8 m đến 1,0 m.
Chi tiết xem tại Hình 5.

Hình 5 – Tường dẫn hướng
8.4 Cao trình mặt thoáng dung dịch bentonite/vữa xi măng – bentonite trong hào
Cao trình mặt thoáng của dung dịch bentonite/vữa xi măng – bentonite giữ ổn định vách hào trong quá thi công tường hào chống thấm phải cao hơn cao trình mặt nước ngầm tối thiểu 0,9 m và không thấp hơn đỉnh vách hào tối đa 0,6 m. Trường hợp cao trình mặt nước ngầm cao không đồng thời thỏa mãn hai điều kiện trên thì cần đắp bổ sung một lớp đất hai bên hào để đảm bảo điều kiện này.
8.5 Chiều dày tường hào bentonite
a) Phù hợp với các thiết bị cơ giới đào hào.
CHÚ THÍCH: Chiều dày tường thường từ 0,6 m đến 1,2 m tương đương với chiều rộng thông thường của một gầu đào.
b) Phải đủ lớn để đảm bảo không phát sinh gradient thấm lớn hơn gradient thấm cho phép của tường hào bentonite.
Điều kiện để không xảy ra xói ngầm quy định ở công thức (1):
| Jh < [J] | (1) |
Trong đó:
[J]: gradient thủy lực cho phép của vật liệu tường hào xác định theo công thức (2):| [J]= Jgh/K | (2) |
Jgh: là gradient thủy lực giới hạn của vật liệu làm tường hào, xác định bằng thí nghiệm;
K: hệ số an toàn, K = 3;
CHÚ THÍCH: Có thể tham khảo Gradient thủy lực giới hạn của vật liệu làm tường hào xi măng – bentonite theo theo kinh nghiệm của các công trình thực tế thường trong khoảng 12-15; Gradient thủy lực giới hạn của vật liệu làm tường hào đất – bentonite có thể chọn bằng 10 đối với công trình từ cấp 2 trở xuống, đối với công trình có cấp cao hơn cấp 2 thì phải thí nghiệm để xác định Gradient giới hạn.
Jh: là gradient thủy lực của tường hào, được tính theo công thức (3):
| (3) |
Trong đó: Δh: là chênh lệch cột nước thấm thượng – hạ lưu tường hào (m);
tb: Chiều dày tường hào (m).
8.6 Cao trình đỉnh tường hào bentonite
a) Cao trình đỉnh tường hào bentonite xác định tương tự cao trình đỉnh tường lõi chống thấm tại 10.4.1 trong TCVN 8216. Đây là cao trình đỉnh tường hào hoàn chỉnh sau khi đã bóc bỏ phần nứt nẻ phía trên.

a) Nối tiếp giữa tường hào bentonite và lõi chống thấm phía trên

b) Chi tiết phần nối tiếp giữa tường hào bentonite và lỗi chống thấm phía trên
CHÚ DẪN:
1: Lõi chống thấm
1A: Vật liệu chống thấm đắp tường lõi có độ ẩm lớn hơn độ ẩm tối ưu
2: đất nền có hệ số thấm lớn
3: Đất nền có hệ số thấm nhỏ
4: Tường hào bentonite chống thấm
Hình 6 – Nối tiếp giữa tường hào bentonite và lõi chống thấm phía trên
b) Trường hợp tường hào bentonite chỉ chống thấm cho nền đập, đỉnh tường hào cắm vào bộ phận chống thấm của đập (tường lõi hoặc tường nghiêng) tối thiểu 1,5 m. Cần đảm bảo tránh sự phân tách hay giảm ứng suất tại khu vực tiếp giám giữa đỉnh tường hào và phần đất đắp bên trên. Phần đỉnh tường hào bentonite được mở rộng tạo nên miền chuyển tiếp với độ dốc mái m = 2 hoặc thoải hơn. Đất đắp trong vùng chuyển tiếp sử dụng đất đắp của lõi chống thấm bên trên nhưng được đầm tại độ ẩm lớn hơn độ ẩm tối ưu từ (1 – 3) %. Sơ đồ bố trí nối tiếp giữa tường hào và lõi chống thấm được minh họa tại Hình 6.
8.7 Cao độ đáy tường hào bentonite
a) Khi chiều dầy tầng thấm nhỏ, để đảm bảo hiệu quả chống thấm và không hình thành dòng thấm tiếp xúc ở đáy tường hào thì đáy tường hào cần cắm xuống tầng ít thấm với chiều sâu tối thiểu là 0,5 m đến 1,0 m (Hình 7).
CHÚ THÍCH: Khi gặp mặt nền đá, rắn chắc, không thấm nước, cao độ đáy tường hào có thể được đặt trên bề mặt tầng đá rắn chắc không thấm nước (Hình 8).
b) Khi mặt tầng không thấm nằm rất sâu dưới đập (lớn hơn chiều cao cột nước trước đập hoặc chiều sâu tính toán chống thấm – Hình 9), việc lựa chọn cao trình đáy tường hào (tường hào lơ lửng hay tường cắm vào tầng không thấm) dựa vào phân tích giữa hiệu quả chống thấm và giá thành xây dựng tường hào.
CHÚ THÍCH: Tham khảo phụ lục A1 về hiệu quả chống thấm của tường hào bentonite theo chiều sâu.
c) Cần kiểm tra Gradient và vận tốc thấm tại đáy tường hào bentonite để tránh hiện tượng xói ngầm.

Hình 7 – Tường hào bentonite cầm vào tầng thấm ít với chiều sâu tối thiểu 0,5 – 1,0 m

Hình 8 – Tường hào bentonite có đáy nằm trên tầng đá rắn chắc, không thấm

CHÚ DẪN:
| 1: Đập đất đồng chất | 4: Tường hào bentonite chống thấm |
| 2: Tầng thấm mạnh | 5: Đỉnh tường hào |
| 3a. Tầng đá rắn chắc | 6: Đáy tường hào |
| 3b.Tầng không thấm |
Hình 9 – Tường hào chỉ cắt qua một phần của tầng thấm
Hệ số thấm của tường hào xi măng-bentonite và tường hào đất- bentonite phụ thuộc vào nhiều yếu tố như hàm lượng bentonite, độ trương nở của bentonite, chất lượng bentonite, kích thước hạt xi măng, hàm lượng hạt mịn trong đất, chất lượng thi công… Trước khi thi công phải tiến hành thí nghiệm về thấm nhằm hiệu chỉnh thành phần vật liệu của vữa đất – bentonite hoặc xi măng – bentonite theo yêu cầu thực tế.
8.8.1 Điều kiện kiểm tra
a) Hệ số thấm yêu cầu đạt được là hệ số thấm được xác định đối với vật liệu của thân tường hào chống thấm.
b) Đối với hào xi măng bentonite hệ số thấm được thí nghiệm ở tuổi 28 ngày.
c) Đối với tường hào đất-bentonite, hệ số thấm được thí nghiệm ở thời gian tối thiểu là 90 ngày tính từ ngày hoàn thành thi công.
CHÚ THÍCH: Hệ số thấm cũng có thể được xác định ngay tại thời điểm thi công hào. Trường hợp này, trước khi làm thí nghiệm, mẫu phải được cố kết đến trạng thái tương tự như trạng thái của mẫu ở trong hào sau 90 ngày. Khi tính toán áp lực cố kết cần xét đến ảnh hưởng của vách hào, đặc biệt là đối với hào có bề dầy nhỏ.
8.8.2 Yêu cầu về hệ số thấm đối với tường hào xi măng-bentonite
a) Hệ số thấm trung bình cần đạt ≤ 5×10-6 cm/s, trong đó không có mẫu kiểm tra nào có hệ số thấm lớn hơn 10-5cm/s.
b) Trong quá trình đào hào, hàm lượng đất cát rơi vào trong dung dịch giữ vách khá lớn, làm tăng hệ số thấm của tường hào. Để phục vụ mục đích thiết kế, cần thí nghiệm thấm các mẫu xi măng-bentonite với hàm lượng cát, sỏi, khác nhau.
8.8.3 Yêu cầu về hệ số thấm đối với tường hào đất – bentonite
Hệ số thấm trung bình cần đạt ≤ 5×10-7 cm/s, trong đó không có mẫu kiểm tra nào có hệ số thấm lớn hơn 5×10-6 cm/s.
8.9.1 Thời điểm kiểm tra
Cường độ nén của tường hào xi măng – bentonite được xác định tại thời điểm điểm 28 ngày sau khi thi công.
8.9.2. Tường hào xi măng – bentonite
a) Cường độ nén yêu cầu > 1,0 kPa.
b) Đối với tường hào xi măng – bentonite thi công trong đập xây mới đang trong quá trình cố kết, tường hào phải có khả năng chịu biến dạng tương ứng với biến dạng cố kết của đập để tường hào không bị nứt.
8.9.3. Tường hào đất – bentonite
Không yêu cầu kiểm tra cường độ của tường hào đất – bentonite ngay sau khi thi công. Sau khi cố kết (từ 3-6 tháng) cường độ của hỗn hợp đất – bentonite sẽ đạt giá trị tiệm cận đất đắp đập.
9.1 Mục đích tính toán thấm
Tính toán thấm nhằm mục đích xác định gradient thấm qua thân tường và đáy tường hào bentonite, qua đó kiểm tra biến hình thấm, lưu lượng thấm qua tường hào bentonite.
9.2 Hệ số thấm của tường hào bentonite
a) Hệ số thấm của tường hào bentonite phụ thuộc vào lớp áo sét hình thành trên vách hào và vật liệu lấp hào (hình 10).
b) Lớp áo sét này có hệ số thấm rất nhỏ (từ 10-8 cm/s, đến 10-9 cm/s). Khi tính toán để thiên về an toàn có thể bỏ qua ảnh hưởng của áo sét.
c) Trong trường hợp cần đánh giá chính xác khả năng chống thấm của tường hào bentonite có kể đến ảnh hưởng của lớp áo sét thì cần xác định chiều dày và hệ số thấm của lớp áo sét bằng thí nghiệm theo TCVN 11893.

a) Sơ đồ tính thấm

b) Chi tiết các lớp vật liệu trong sơ đồ tính thấm
CHÚ DẪN:
| 1: Đập đất đồng chất | 5: Đỉnh tường hào |
| 2: Tầng thấm mạnh | 6: Đáy tường hào |
| 3. Tầng không thấm | 7: Tường dẫn hướng |
| 4: Tường hào chống thấm |
Hình 10 – Sơ đồ tính thấm khi có kể đến màng sét
Hệ số thấm theo phương ngang của tường hào đất-bentontie được tính theo công thức (D’Appolonia 1980).
![]() | (4) |
Trong đó:
k: hệ số thấm của tường hào (có xét đến ảnh hưởng của lớp áo sét) (m/s);
tb: chiều dày của hào (m);
kb: hệ số thấm của hào (m/s);
tc: chiều dày của màng sét (m);
kc: hệ số thấm của màng sét (m/s);
CHÚ THÍCH: Hiệu quả chống thấm của tường hào bentonite có thể tham khảo thêm ở phụ lục A2.
9.3 Tính toán thấm
a) Xác định lưu lượng thấm qua tường hào bentonite.
b) Xác định gradient thấm lớn nhất trong tường, gradient tại nơi tiếp xúc ở đáy tường hào bentonite.
c) Kiểm tra các giá trị tính toán với các giá trị cho phép.
10.1 Tổng quát
Sự ổn định của hào do: (1) áp lực thủy tĩnh của dung dịch bentonite, (2) lớp dung dịch bentonite dính bám trên vách hào ngăn cản sự dịch chuyển của lớp đất rời ở vách hào, (3) hiệu ứng màng cấu trúc được tạo ra bởi màng mỏng bentonite trên các vách hào, (4) sự keo hóa của dung dịch đã thâm nhập vào trong đất, (5) các hiệu ứng ba chiều.
10.2 Tải trọng và tổ hợp tải trọng
Vách hào cần đảm bảo ổn định trong trong quá trình thi công ứng với các tổ hợp tải trọng có thể xảy ra. Tổ hợp tải trọng bao gồm tải trọng của thiết bị thi công hào, tường dẫn hướng, nước ngầm, dung dịch giữ vách, và các tải trọng khác nếu có thể gây bất lợi cho ổn định vách hào trong quá trình thi công.
10.3 Các nội dung tính toán kiểm tra ổn định
a) Khi hào dài (L/tb >8), trong đó L là chiều dài hào, có thể tính theo bài toán phẳng. Khi tỷ lệ L/tb ≤ 8 (khi đào theo các panel) khi đó hào làm việc ở trạng thái không gian ba chiều sẽ ổn định hơn. Tính toán ổn định theo bài toán phẳng sẽ thiên về an toàn.
b) Cần kiểm tra ổn định tổng thể và ổn định cục bộ của tường hào theo các bài toán sau đây:
– Kiểm tra cao trình mặt dung dịch so với mặt nước ngầm lớn nhất, yêu cầu đảm bảo áp lực do dung dịch giữ vách gây nên tại vách hào lớn hơn áp lực nước ngầm tối thiểu 1,05 lần.
– Kiểm tra ổn định tổng thể của vách hào.
– Kiểm tra ổn định cục bộ của vách hào trong trường hợp trên vách hào có vùng đất rời rạc (cát, cuội, sỏi…)
c) Các phương pháp tính toán kiểm tra ổn định tham khảo trong phụ lục B.
10.4 Hệ số an toàn ổn định
Hệ số an toàn ổn định cho phép của vách hào lấy như hệ số an toàn ổn định của mái đập đất (phụ thuộc vào cấp công trình).
11 Tính toán ứng suất biến dạng
11.1 Khi thi công tường hào bentonite do quá trình đào hào và lấp lại, trạng thái ứng suất thay đổi gây nên biến dạng ở khu vực lân cận (Hình 12). Do đó nếu gần vị trí xây dựng tường hào có các công trình (đặc biệt khi thi công tường hào nhằm mục đích xử lý hố móng các công trình xây dựng) cần phải tính toán ứng suất biến dạng để kiểm tra.

Hình 12 – Nền bị biến dạng do thi công tường hào bentonite
11.2 Nếu tường hào bentonite được thi công trong đập cũ đã lún ổn định cần tính toán ứng suất để kiểm tra trạng thái treo ứng suất do ma sát giữa tường hào với khối đất đắp đã lún ổn định và kiểm tra hiện tượng nứt gẫy thủy lực có thể xảy ra trong tường hào.
Công thức kiểm tra nứt gãy thủy lực (chỉ kiểm tra đối với hào đất – bentonite):
| (5) |
Trong đó:
K: Hệ số ổn định;
σy : ứng suất theo phương thẳng đứng tại vị trí đang xét;
C: Lực dính của đất tại vị trí đang xét;
W: Áp lực nước tại vị trí đang xét.
11.3 Đối với tường hào bentonite được thi công trong đập mới thi công xong, đập đang trong quá trình lún cần kiểm tra sự tương thích giữa biến dạng của thân đập và tường hào (đặc biệt đối với hào xi măng-bentonite) tránh hiện tượng nứt hào hoặc tách giữa tường hào và phần đất đắp thân đập.
12.1 Quy định chung
Để kiểm tra trạng thái làm việc của tường hào cần bố trí thiết bị quan trắc. Số lượng thiết bị quan trắc phụ thuộc vào điều kiện thực tế xây dựng tường hào.
Có hai loại quan trắc cơ bản là quan trắc thấm và quan trắc chuyển vị.
12.2 Quan trắc thấm
a) Bố trí thiết bị đo áp ở mặt trước và mặt sau tường hào bentonite để đánh giá hiệu quả của tường hào bentonite chống thấm (Hình 13).

CHÚ DẪN:
| 1: Đập đất | 5: Đỉnh tường hào |
| 2: Tầng thấm mạnh | 6: Đáy tường hào |
| 3. Tầng không thấm | 7: Thiết bị quan trắc thấm |
| 4: Hào chống thấm |
Hình 13 – Sơ đồ bố trí thiết bị quan trắc thấm
b) Thiết bị quan trắc bố trí theo các tuyến đo có địa chất hoặc chiều sâu tường thay đổi lớn. Tuyến đo áp được bố trí:
– Ở phần thềm sông, các tuyến bố trí cách nhau từ 150 m đến 250 m;
– Ở phần lòng sông, các tuyến bố trí cách nhau từ 100 đến 150 m;
– Số lượng tuyến đo áp tối thiểu là 2 tuyến cho 1 công trình.
12.3. Quan trắc chuyển vị
a) Quan trắc lún mặt theo quy định trong 4.1.2.1 của TCVN 8215.

CHÚ DẪN:
| 1: Đập đất đồng chất | 5: Đỉnh tường hào |
| 2: Tầng thấm mạnh | 6: Đáy tường hào |
| 3. Tầng không thấm | 7: Thiết bị quan trắc lún mặt |
| 4: Hào chống thấm | 8: Thiết bị quan trắc lún sâu |
Hình 14 – Sơ đồ bố trí thiết bị quan trắc chuyển vị
b) Đối với mỗi tuyến quan trắc, các mốc quan trắc được bố trí ở hai bên mép hào và giữa hào. Số lượng tuyến quan trắc lún được bố trí như sau:
– Ở phần thềm sông, các tuyến đo chuyển vị bố trí cách nhau từ 150 m đến 250 m;
– Ở phần lòng sông, các tuyến đo chuyển vị bố trí cách nhau từ 100 đến 150 m;
– Số lượng tuyến đo chuyển vị tối thiểu là 2 tuyến cho 1 công trình.
Hiệu quả chống thấm của của tường hào bentonite
A.1 Hiệu quả chống thấm của tường hào theo chiều sâu

Hình A.1 – Hiệu quả chiều sâu ngăn thấm một phần để giảm thấm với nền đồng nhất đẳng hướng (WES)
Hiệu quả của chống thấm: hiệu quả chống thấm của tường hào được đánh giá theo hiệu quả dòng chảy (Casagrande 1961)
| (A.1) |
trong đó:
Eq: Hiệu quả dòng chảy của tường ngăn;
Qo: Lưu lượng thấm khi không chống thấm (m3/s);
Q- Lưu lượng thấm khi có biện pháp không chống thấm (m3/s);
Hoặc hiệu quả cột nước (Lane và Wohlt 1961):
| (A.2) |
trong đó:
EH – hiệu quả cột nước của tường ngăn;
h – cột nước chênh lệch trước và sau tường ngăn trên một đường dòng so với đáy đập (m);
H – cột nước tổn thất qua đập (m).

a) Ngăn thấm một phần

b) Ngăn thấm hoàn toàn

c) Quan hệ giữa lượng nước thấm và chiều sâu của hào ngăn thấm một phần.
Hình A.2 – Hiệu quả của tường hào đầm đất đắp một phần trong giảm lưu lượng thấm (John Wiley và Sons)

Hình A.3 – Hiệu quả chiều sâu của chân khay lơ lửng với vị trí đường bão hòa phía hạ lưu đập đất và Gradient thấm ở chân đập cửa ra khi đặt trên nền đồng nhất đẳng hướng (John Wiley và Sons)
Hiệu quả dòng chảy của tường ngăn 1 phần đặt trên nền thấm được minh họa trong Hình A.3. Hình này minh họa gradients thấm lớn xảy ra ở đáy của tường và ở mặt hạ lưu của nó trong cả nền và đập. Phải đặt tầng lọc thích hợp để ngăn hiện tượng xói ngầm đất ở mặt A-B-C trong hình A-2a và A-2b (Cedergren 1977 và klohn 1979). Như trong hình A-3, tường ngăn 1 phần trong nền đồng chất đẳng hướng sẽ hạ thấp phần nào dòng thấm trong đập vật liệu địa phương nhưng gradient ra ở chân hạ lưu (như được miêu tả bằng khoảng cách giữa các đường đẳng thế) sẽ giảm 1 chút (Cedergren 1973).
A.2 Hiệu quả chống thấm của tường hào khi có kể đến áo sét

Hình A.4 – Hệ số thấm trung bình của tường hào khi có kể đến khả năng chống thấm của lớp áo sét
Các phương pháp tính toán ổn định vách hào
B.1 Ngăn không cho nước thấm vào trong hào
Yêu cầu này được đảm bảo nếu áp lực dung dịch trong hào tại bất cứ điểm nào lớn hơn 1,05 lần áp lực nước ngầm. Để đáp ứng điều kiện này mực dung dịch trong hào phải cao hơn mực nước ngầm.
Điều kiện ổn định này được thể hiện dưới dạng:
| (B.1) |
Trong đó : h1 và h2 là cột nước áp lực của dung dịch và nước ngầm tại điểm đang xét (m);
γb , γn là Khối lượng đơn vị của dung dịch và Khối lượng đơn vị nước (kG/m3).
B.2 Ổn định cục bộ của các hạt hay nhóm hạt
Trong đất hạt thô đặc biệt trong trường hợp dung dịch thấm tự do có nguy cơ xảy ra các hạt đất bị rơi ra khỏi vách hào, Nếu những phá hoại như vậy xảy ra trong các lớp sỏi sạn và cát hạt thô, đất phía trên có thể sụt vào trong hào. Quá trình này tạo thành các hốc có thể dẫn đến mất ổn định tổng thể của khối bên trên.
Theo DIN 4126 Điều kiện này được thỏa mãn nếu:
| (B.2) |
Trong đó: d10 là đường kính hạt có 10% trọng lượng lọt qua mắt sàng (m);
φ là giá trị góc ma sát trong tính toán;
γ” khối lượng thể tích của đất trong dung dịch bentonite (N/m3).
| γ” = (1 – n) (γd – γb) (kN/m3) | (B.3) |
Trong đó, n: độ rỗng của đất;
γd: Trọng lượng đơn vị của đất (kN/m3);
γb: Trọng lượng đơn vị của dung dịch bentonite (kN/m3);
Trong tính toán có thể lấy gần đúng γ” bằng khối lượng thể tích đẩy nổi của đất γ‘.
Các lớp cuội sỏi có đường kính hạt d10 > 5 mm và chiều dày lớn hơn 0,5m chỉ ổn định khi τF > 70N/m2 hoặc có biện pháp xử lý đặc biệt.
B.3 Tính toán ổn định tổng thể
B.3.1 Đối với đất dính
Lực duy trì sự ổn định chính của vách hào trong quá trình đào hào là lực thủy tĩnh tác dụng lên vách hào. Với tường hào được đào trong đất sét đồng chất, phần hào đào ra chỉ duy trì vài ngày để đổ và đầm lấp vật liệu, hệ số an toàn ổn định là (Nash và Jones 1963)
| (B.4) |
Trong đó:
F: hệ số an toàn;
Cu: lực dính không thoát nước (kN/m2);
H: Chiều sâu của hào (m)
γd: Trọng lượng đơn vị của đất (kN/m3);
γb: Trọng lượng đơn vị của dung dịch (kN/m3);
B.3.2. Đối với hào vữa được đào trong đất không dính
Khi hào được đào trong đất không dính, khô Nash và Jones 1963 đề nghị công thức tính
| (B.5) |
Trong đó
φ : góc ma sát trong của đất;
Với tường hào được đào trong đất không dính bão hòa nước với mực nước ngầm và mực vữa trong quá trình đào đều ở mặt đất tự nhiên (Nash và Jones 1963)
| (B.6) |
Trong đó:
γ’d: Trọng lượng đơn vị hiệu quả của đất (kN/m3);
γ’b: Trọng lượng đơn vị hiệu quả của dung dịch (kN/m3);
φ’: Góc ma sát trong hiệu quả.

a) Mặt cắt điển hình hào vữa

b) Đồ thị tính ổn định tường hào bentonite
Hình B.1 – Tính toán ổn định tường hào bentonite trong điều kiện đất không dính
Cho bất kì mực nước ngầm và cao trình mặt vữa trong đất không dính, như trong hình B.1a, ước lượng độ đặc của vữa được đòi hỏi để đảm bảo độ ổn định của hào là (bỏ qua ảnh hưởng của hào ngắn và sự ổn định của đất cạnh mặt hào do sự thâm nhập và đông đặc của vữa) (Morgenstern và Amir- Tahmasseb 1965):
![]() | (B.7) |
Trong đó:
n: được định nghĩa trong hình B.1a;
m: được định nghĩa trong hình B.1a;
γb: Trọng lượng riêng của vữa (kN/m3);
γn: Trọng lượng riêng của nước (kN/m3);
γd: Trọng lượng riêng của đất (kN/m3);
α: góc nghiêng của mặt trượt của khối đất, giả định = 45 + φ’/2;
φ: góc ma sát trong hiệu quả;
Phương trình B.7 được giải bằng việc sử dụng của đồ thị được chỉ trong hình B.1b (Duguid et al. 1971) Fizl và các cộng sự (2004) dựa trên các phương pháp của Nash và Jones (1963); Morgenstern và Amir-Tahmasseb (1965) và Duguid cùng cộng sự (1971) thiết lập một công thức tính ổn định mới có xét đến (1) các trọng lượng thể tích tổng của đất ở trên và dưới mực nước ngầm là khác nhau, (2) khả năng có áp lực gia tải, (3) hệ số an toàn được đánh giá trên cường độ của đất, đó là tan ϕ, thay cho đánh giá theo trọng lượng thể ttch của vữa.
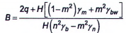
Sự ổn định tổng thể với sự hình thành màng mỏng cho trường hợp một màng mỏng tạo ra dọc theo suốt vách hào của một lớp cát trầm tích, hệ số an toàn F, chống lại sự trượt dọc theo một mặt trượt phẳng phát triển từ đáy hào tới mặt đất, như trên hình B.1a, được xác định bởi:
| (B.8) | |
| (B.9) |
Trong đó:
B – Hệ số ổn định không thứ nguyên.
q – Áp lực gia tải (kN/m2);
H – Độ sâu của hào (m);
m = Hw / H Với Hw – chiều cao của mực nước ngầm so với đáy hào;
γm – trọng lượng thể tích tổng của cát ẩm ở trên mức nước ngầm (kN/m3);
γbw – trọng lượng thể tích đẩy nổi của cát ở dưới mực nước ngầm (kN/m3);
γbw = γsw – γn
Với γsw – trọng lượng thể tích của cát bão hòa bởi nước ngầm (kN/m3);
γb – trọng lượng thể tích của vữa trong hào (kN/m3);
γn – trọng lượng thể tích của nước (kN/m3);
n = Hs / H với Hs – chiều cao của cột vữa so với đáy hào;
ϕ – góc ma sát trong của cát.
Độ dốc của mặt phá hủy giới hạn, αf, được xác định bởi
| (B.10) |
Công thức tính ổn định tổng thể vách hào do Fliz và các cộng sự (2004) xây dựng đơn giản, có độ chính xác cao, tuy nhiên nó chỉ áp dụng được cho đất rời hoàn toàn (C=0). Trong thực tế hào được thi công ở nhiều khu vực có có lực dính C ≠ 0. Sự hiện diện của lực dính C dù nhỏ có ảnh hưởng rất lớn đến ổn định của vách hào đặc biệt là khu vực gần mặt đất.
B.3.3 Tính toán ổn định hào vữa được đào trong đất ít dính
B.3.3.1 Công thức tính ổn định dựa trên nguyên lý cân bằng giới hạn có xét đến ảnh hưởng của lực dính theo sơ đồ Hình B.2.
Các ký hiệu khác tương tự như ký hiệu trong phương pháp do Fliz và các cộng sự đề nghị.

Hình B.2 – Sơ đồ tải trọng và mặt trượt
Các thành phần lực được xác định như sau:
– Áp lực thủy tĩnh do dung dịch vữa tác động lên vách hào
| (B.11) |
– Áp lực thủy tĩnh do nước ngầm tác động lên vách hào
| (B.12) |
– Mặt trượt tạo với phương thẳng đứng một góc α với
![]() | (B.13) |
– Trọng lượng phần đất trong khối trượt nằm trên đường bão hòa được tính với khối lượng thể tích tự nhiên.
| P1 = 0,5(H2sinα – m2H2sinα). γtn (kN/m) | (B.14) |
| P1 = H2sinα (1-m).γtn (kN/m) | (B.15) |
– Trọng lượng khối đất trượt nằm dưới đường bão hòa tính theo khối lượng thể tích đẩy nổi
| P2 = 0,5m2H2sinα. γdn (kN/m) | (B.16) |
– Áp lực phân bố trên đỉnh hào
| Q = q.H.sinα (kN/m) | (B.17) |
– Tổng các lực theo phương thẳng đứng tác dụng lên mặt trượt
| V = Q + P1 + P2 (kN/m) | (B.18) |
– Lực thẳng đứng V tác dụng lên mặt trượt được phân thành 2 thành phần gồm : thành phần pháp tuyến với mặt trượt Vn; thành phần tiếp tiếp với mặt trượt Vs, trong đó :
| Vs = Vcosα (kN/m) | (B.19) |
| Vn = Vsina (kN/m) | (B.20) |
| – Thành phần Vn tạo nên lực ma sát chống trượt: | |
| (B.21) |
– Lực dính C phân bố trên bề mặt có tác dụng chống trượt:
| (B.22) |
– Hệ số an toàn ổn định được xác định theo công thức :
![]() | (B.23) |
– Trong công thức tính ổn định trên, hệ số an toàn ổn định F có ở cả 2 vế nên việc tính toán phải thử dần. Công thức (B.23) có thể phát triển cho tính toán nhiều lớp đất có chỉ tiêu cơ lý khác nhau đồng thời dễ dàng sử dụng trong lập trình hoặc lập file tính toán trên excel.
B.3.3.2 Tính toán ổn định theo phương pháp cung trượt:
Các tính toán trên đều giả thiết mặt trượt phẳng, nhìn chung mặt trượt có mặt cong nhưng có bán kính lớn gần với mặt phẳng. Tuy nhiên trong các công thức trên chỉ mới đề cập đến trường hợp đất đồng chất, không tính toán được với trường hợp vách hào có các lớp đất có chỉ tiêu cơ lý khác nhau. Việc sử dụng phần mềm chuyên dụng với các phương pháp tính chính xác xét đến cả cân bằng mô men và cân bằng lực và xét đến hình dạng mặt trượt bất kỳ cho phép tìm ra mặt trượt tối ưu. Khi tính toán các chỉ tiêu tính toán và ảnh hưởng của nước ngầm được khai báo như các trường hợp tính toán ổn định thông thường khác. Riêng ảnh hưởng của dung dịch bentonite được đưa vào dưới dạng tải trọng hướng ngang tác dụng lên vách hào.

Hình B.3 – Ví dụ về sơ đồ tải trọng tính ổn định theo phần mềm Geo slope
B.3.3.3 Phương pháp tính toán của Đức (Germany Design Code DIN 4126i ,2004)

CHÚ DẪN
| P – gia tải; | Px – gia tải theo phương ngang |
| Pz – gia tải theo phương đứng | E – lực tác dụng chủ động cân bằng |
| G – trọng lượng khối trượt | Q – Phản lực tại mặt trượt |
| T – lực cắt tại mặt biên bên hông | ϑa – góc trượt của lớp đơn |
| ϑ – góc trượt | S – lực tác dụng của dung dịch |
| φ – góc ma sát trong | W – lực tác dụng ngang của nước ngầm |
| S’ – lực tác dụng hiệu quả | ta – chiều sâu hào |
| ls – chiều dài hào | |
| tw – độ sâu mực nước ngầm |
Hình B.4 – Mô hình bài toán ổn định vách hào lớp đơn.
a) Tính toán với một lớp đơn
Việc tính toán hệ số an toàn hk của vách hào được xác định bằng công thức chung như sau:
| (B.24) |
Trong trường hợp vách hào đứng có thể coi là lực tác dụng của dung dịch chỉ theo phương ngang SH vì vậy ta có:
| S’ = S – W = SH – W | (B.25) |
Lực tác dụng cân bằng E được tính toán dựa theo góc trượt da theo công thức:
| (B.26) |
trong đó:
| V = G + Pz | (B.27) |
| (B.28) | |
| (B.29) |
Công thức này được xây dựng dựa vào quy tắc cân bằng theo phương ngang (hình B.5). Việc tính lực kéo mặt biên bên hông T nhìn chung tương tự như trong tiêu chuẩn của Mỹ.
Khi xác định E của đất có tính dính, lực dính đơn vị C cần giảm đi 1,5 lần. Việc giảm giá trị C một mặt xét đến sự không chắc chắn khi xác định giá trị lực dính, mặt khác bằng cách giảm lực dính đi 1,5 lần gián tiếp giảm diện tích bề mặt tác dụng của lực dính.
Quy trình tính toán là với mỗi một độ sâu hào tìm ra một góc trượt ϑa nguy hiểm nhất, cho giá trị E(ϑa)max từ đó tính ra giá trị ηk nhỏ nhất ứng với hệ số an toàn của hào có điểm ra mặt trượt nằm ở độ sâu đang xét.
b) Tính toán với nhiều lớp đất
Việc tính toán với nhiều lớp đất dựa trên nguyên tắc cơ bản nói chung là không khác biệt với việc tính toán một lớp đơn. Tuy nhiên cần chia khối trượt thành nhiều khối nhỏ theo lớp và gia tải tác dụng (hình B-6).
Với mỗi khối nhỏ này tính toán các lực thành phần tương tự như tính toán với một lớp đơn. Tổng hợp giá trị các lực lại rồi tìm ra hệ số an toàn của hào theo phương trình (B-24). Lực tác dụng cân bằng E có thể xác định được bằng công thức B.30:
| (B.30) |


Hình B.6 – Mô hình tính toán trường hợp nhiều lớp đất chịu tải trọng phức tạp
Trong đó Ej là lực tác dụng cân bằng theo từng lớp đất. Do tính dịch chuyển theo phương tác dụng lực, thông thường khi tính Ej, ta chỉ tính đối với hình tam giác sát với mặt trượt. Tương tự, trọng lượng một cột của khối trượt có k lớp có thể tính được bằng công thức
| (B.31) |
Tuy nhiên, ngay cả khi tính toán với nhiều lớp và gia tải tác dụng phức tạp, tiêu chuẩn của Đức vẫn khuyến nghị là nên tính toán với góc trượt ϑa không đổi. Do vậy hào càng sâu và lớp địa chất càng nhiều, tính chính xác của thuật toán càng giảm đi.
Thư mục tài liệu tham khảo
[1] Nguyễn Cảnh Thái, Đề tài khoa học và công nghệ cấp nhà nước ĐTĐL.CN-04/16: “Nghiên cứu công nghệ phát hiện sớm nguy cơ sự cố đê sông, đập đất, đập đá, đập bê tông trọng lực và đề xuất giải pháp xử lý”, 2019. [2] Dr. D.A. Bruce and Prof. G.Filz, Quality control and quality assurance in cut-off walls. [3] Jeffrey C. Evans, Slurry walls for groundwater control: Acomparison of UK and US practice. [4] Philip Michael lannaccone, Implications of construction techniques on the performance of slurry walls, 1999. [5] MERL Report Number 2011-42, Reclamation’s Seepage barrier experience – A Cursory Scoping Study, 2011. [6] Stephen Jones, Design and construction of a deep soil-bentonite groundwater barrier wall at Newcastle, Australia, 2007. [7] Ken Andromalos, Design and construction considerations for the use of slurry walls to construct water reservoirs in the denver formation, 2007. [8] Chapter 16: Cutoff Walls, Design Standards No. 13 Embankments Dams, U.S Department of the Interior, 2014. [9] Christopher R. Ryan, Performance evaluation of cement-bentonite slurry wall mix design. [10] Leszeek Rafalski, Designing of Composition of bentonite-cement slurry for cut-off walls constructed by the monophase method, 1994. [11] Industry practice standards and DFI practice guidelines for structural slurry walls, Deep Foundations institute, 2005.Mục lục
1 Phạm vi áp dụng
2 Tài liệu viện dẫn
3 Thuật ngữ và định nghĩa
4 Quy định chung
5 Yêu cầu về vật liệu
6 Khảo sát địa chất
7 Lựa chọn hình thức tường hào
8 Tính toán thiết kế tường hào
9 Tính toán thấm
10 Tính toán ổn định vách hào
11 Tính toán ứng suất biến dạng
12 Bố trí thiết bị quan trắc
Phụ lục A (Tham khảo) Hiệu quả chống thấm của tường hào Bentonit
Phụ lục B (Tham khảo) Các phương pháp tính toán ổn định vách hào
Thư mục tài liệu tham khảo












































































